4月11日,国际学术期刊《Engineering Structures》公布了2024年度最佳论文奖(Best Paper Award)评选结果。亚洲体育博彩平台土木工程学院杨永斌院士团队发表的论文《Cancellation of resonance for elastically supported beams subjected to successive moving loads: Optimal design condition for bridges》荣获该期刊桥梁工程领域最佳论文奖。该论文由博士生陈雷等在杨永斌院士和王志鲁副教授共同指导下完成。作者包括:杨永斌、陈雷、王志鲁、刘志勇、刘丁菡(清华大学)、姚华、郑越(同济大学)。

获奖证书
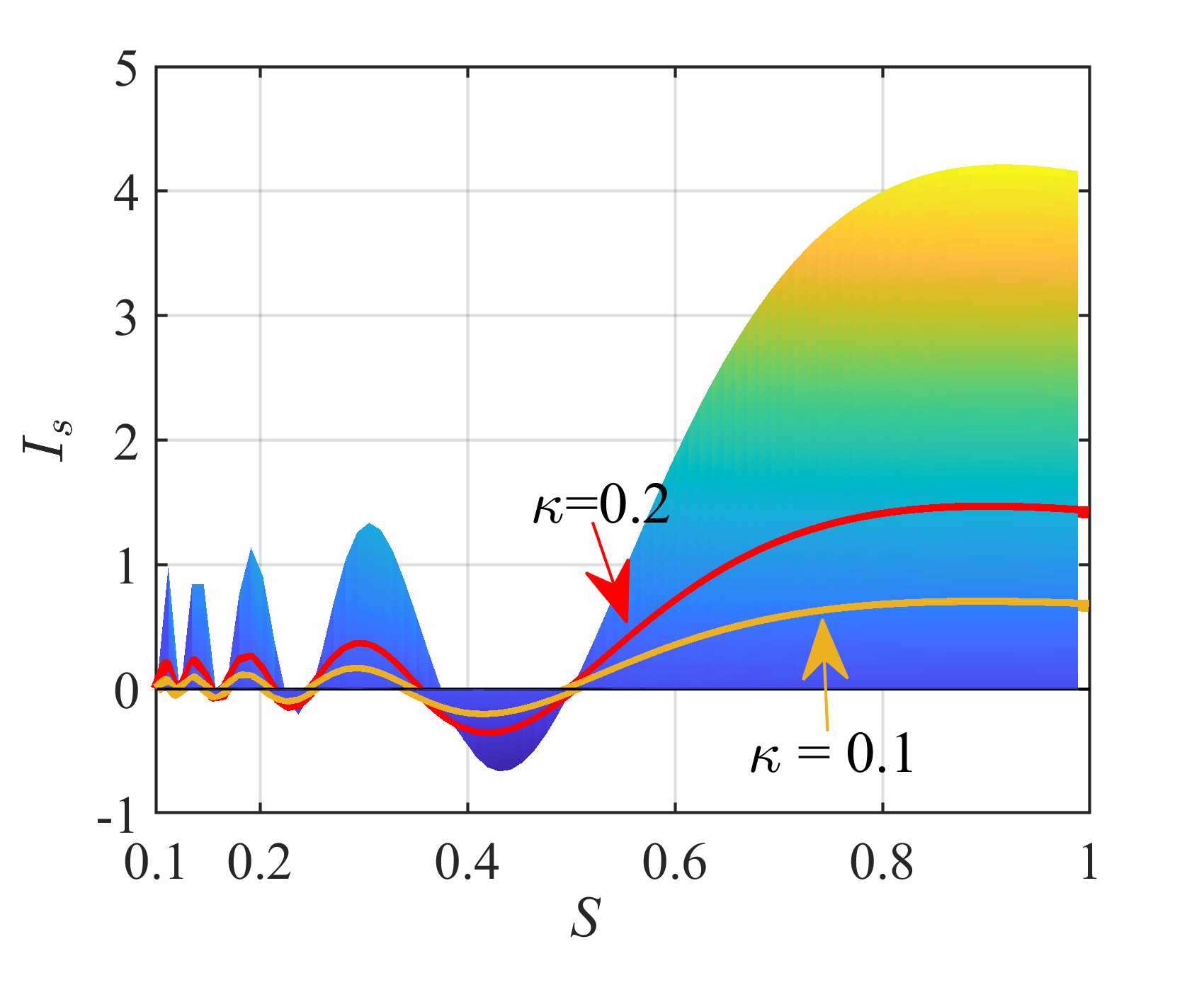
该论文聚焦于考虑弹性支撑影响的铁路桥梁共振与消振问题,采用弹性支撑梁模型解析和揭示了列车荷载作用下桥梁共振与消振现象的生成机理,从弹性支撑梁自由振动的模态振幅中识别出两类消振条件:由荷载特性决定的“外条件”和与结构参数相关的“内条件”,据此首次提出了适用于中短跨径铁路桥梁的最佳支撑刚度比设计准则。该准则仅依赖桥梁与车辆长度比,可实现对共振现象的近乎完全抑制,为跨度为0.5-2倍列车长度的铁路桥梁支座刚度设计提供了理论指导。



部分论文结果
《Engineering Structures》是Elsevier旗下结构工程领域期刊,目前为JCR一区,影响因子5.6,CiteScore 10.2。期刊涵盖基础设施、地震工程、结构动力学、桥梁工程、风工程、抗爆设计、结构可靠性、健康监测及新型材料等前沿研究方向。2024年度,期刊共收到10000余篇投稿,录用发表1900余篇(录用率约19%)。经主编团队从创新性、应用价值及写作质量等多维度综合评审,最终评选出最佳论文奖33篇,包括最佳论文3篇、最佳综述1篇及学科领域最佳论文奖29篇。
来源:土木工程学院
作者:王志鲁